
Product: Abaqus/Standard

Fluid pipe elements in Abaqus/Standard allow you to simulate the viscous and gravity pressure loss terms in a fluid pipe network. The pipe elements use a pure pressure formulation and are based on Bernoulli's equation for the case of steady-state flow of a single-phase, incompressible fluid through a fully filled pipe with a constant cross-sectional area.

Fluid pipe elements are used to simulate the flow of a liquid through a pipe or network of pipes to determine pressure drops and flow rates in a geostatic or coupled pore fluid diffusion/stress analysis (see “Geostatic stress state,” Section 6.8.2, and “Coupled pore fluid diffusion and stress analysis,” Section 6.8.1). They can also be used to model one-dimensional wellbores in geomechanics.

Two types of fluid pipe elements are provided. For two-dimensional and axisymmetric analyses use element type FP2D2. For three-dimensional analyses use element type FP3D2.

You must associate a material definition with each pipe element section property.
The material that is defined for the fluid pipe section refers to the fluid that is flowing through the pipe. The properties that must be defined for the fluid are the pore fluid density and viscosity. For the viscosity definition fluid pipe elements support only Newtonian fluids (see “Viscosity,” Section 26.1.4).
| Input File Usage: | Use all of the following options: |
*FLUID PIPE SECTION, MATERIAL=material name *MATERIAL, NAME=material name *DENSITY, PORE FLUID *VISCOSITY, DEFINITION=NEWTONIAN |

The geometry of a pipe element is expressed in terms of hydraulic area and hydraulic diameter. The hydraulic diameter is expressed in terms of the cross-sectional area (A) of the tube or channel and the wetted perimeter (P) as
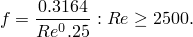
. A pipe element is defined by two noncoincident nodes. Using a Darcy-Weisbach approach, Bernoulli's equation (including viscous loss) between two points in space can be written as
![]()
are the pressures at the nodes and
;
are the elevations at the nodes and
;
is the fluid velocity in the pipe.
is the fluid density;
is the acceleration due to gravity;
is the loss coefficient;
is the friction factor of the pipe;
is the length of the pipe, and;
is a directional loss term.
The loss coefficient
can also include an added pipe length
as well as a pipe length scaling factor
. The general form of the loss coefficient is written as
![]()
![]()
![]()

Abaqus/Standard supports four different methods for defining the friction factor
:
Blasius friction loss;
Churchill friction loss;
a tabular option, and;
a user subroutine.
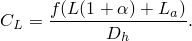
The Blasius friction loss method uses an empirical relation based on the Reynold's number (Re) to determine the friction factor. The method has two different regimes that depend on whether the flow is laminar or turbulent. There is a discontinuous jump in the friction factor when the flow transitions from laminar to turbulent at
. The friction factor is empirically calculated as
![]()
![]()
| Input File Usage: | *FLUID PIPE FLOW LOSS, TYPE=BLASIUS |
A more comprehensive formula that takes into account the pipe roughness
and captures the Moody's data accurately is the Churchill's formula. This formula transitions smoothly from laminar to turbulent flow. The friction factor is determined as


![]()
| Input File Usage: | *FLUID PIPE FLOW LOSS, TYPE=CHURCHILL |
You can input a table of
versus friction. Abaqus interpolates linearly between the values specified in the table. If one of the independent variables is outside the range of specified values, Abaqus uses the value that is closest in the table.
| Input File Usage: | *FLUID PIPE FLOW LOSS, TYPE=TABULAR |
You can specify the friction factor for the element with user subroutine UFLUIDPIPEFRICTION. The user subroutine is called by every fluid pipe element to determine the friction factor based on the fluid flow rates.
| Input File Usage: | *FLUID PIPE FLOW LOSS, TYPE=USER |
You can specify the laminar flow transition parameter that is used to switch flow computations from a purely laminar, linear formulation to a nonlinear iterative formulation. The purely laminar formulation uses the Blasius friction factor when the computed Reynold's number is at or below the specified laminar flow transition number. This ensures better convergence when the flow in the pipe is zero or close to zero in magnitude. The default laminar transition flow Reynold's number is 1.0. User subroutine UFLUIDPIPEFRICTION is not called when the computed
is less than the default or specified value.
| Input File Usage: | *FLUID PIPE FLOW LOSS, LAMINAR FLOW TRANSITION=Reynold's number value |

You can define an initial temperature or field distribution over the nodes of the fluid pipe elements.
| Input File Usage: | Use one or both of the following options: |
*INITIAL CONDITIONS, TYPE=TEMPERATURE *INITIAL CONDITIONS, TYPE=FIELD |

Fluid pipe elements allow for the specification of pressure boundary conditions and volumetric flow rates at the nodes. At a particular node, either a pressure or flow rate can be specified but not both. You can also specify a gravity load on the fluid pipe element to determine the hydrostatic head at the nodes.
| Input File Usage: | Use the following option to specify the pressure at the inlet or outlet: |
*BOUNDARY node or node set, 8, 8, magnitude Use the following option to specify the flow rate at the inlet or outlet: *CFLOW node or node set, , magnitude Use the following option to specify a gravity load on the fluid pipe connector element: *DLOAD element or element set, , GRAV, gravity constant, comp1, comp2, comp3 |