
Products: Abaqus/Standard Abaqus/CAE

The swelling gel model:
allows for modeling of the growth of gel particles that swell and trap wetting liquid in a partially saturated porous medium;
is intended for use in moisture absorption problems, which typically involve polymeric materials, such as in the analysis of diapers; and
can be used in the analysis of coupled pore liquid flow and porous medium stress (see “Coupled pore fluid diffusion and stress analysis,” Section 6.8.1).

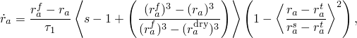
The simple swelling gel model is based on the idealization of a gel as a volume of individual spherical particles of equal radius,
. The swelling evolution (discussed in detail in “Constitutive behavior in a porous medium,” Section 2.8.3 of the Abaqus Theory Guide) is assumed to be given by

![]()
is the fully swollen radius;
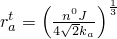
![]()
is the relaxation time of the gel particles;
s
is the saturation of the surrounding medium;
![]()
is the radius of the gel particles when they are completely dry;
![]()
is the maximum radius that the gel particles can achieve before they must touch;
![]()
is the effective gel radius when the volume is entirely occupied with gel;
![]()
is the initial porosity of the material;
J
is the volume change in the material; and
![]()
is the number of gel particles per unit volume.
The swelling gel model is defined by specifying the variables
,
,
, and
.
| Input File Usage: | *GEL |
| Abaqus/CAE Usage: | Property module: material editor: Other |

The swelling gel model can be used only in elements that allow for pore pressure (see “Choosing the appropriate element for an analysis type,” Section 27.1.3).