
Products: Abaqus/Standard Abaqus/CFD Abaqus/CAE

Permeability is the relationship between the volumetric flow rate per unit area of a particular wetting liquid through a porous medium and the gradient of the effective fluid pressure. It can be specified in Abaqus/Standard and Abaqus/CFD.
Permeability in Abaqus/Standard:
must be specified for a wetting liquid for an effective stress/wetting liquid diffusion analysis (see “Coupled pore fluid diffusion and stress analysis,” Section 6.8.1);
is defined, in general, by Forchheimer's law, which accounts for changes in permeability as a function of fluid flow velocity; and
can be isotropic, orthotropic, or fully anisotropic and can be given as a function of void ratio, saturation, temperature, and field variables.
must be specified for porous media flows (see “Incompressible fluid dynamic analysis,” Section 6.6.2); and
can be isotropic and specified as a function of porosity only or can be specified through the Carman-Kozeny permeability-porosity relation.

Permeability is defined for pore fluid flow.
According to Forchheimer's law, high flow velocities have the effect of reducing the effective permeability and, therefore, “choking” pore fluid flow. As the fluid flow velocity reduces, Forchheimer's law approximates the well-known Darcy's law. Darcy's law can, therefore, be used directly in Abaqus/Standard by omitting the velocity-dependent term in Forchheimer's law.
Forchheimer's law is written as
![]()
![]()
is the volumetric flow rate of wetting liquid per unit area of the porous medium (the effective velocity of the wetting liquid);
![]()
is the fluid saturation (
for a fully saturated medium,
for a completely dry medium);
![]()
is the porosity of the porous medium;
![]()
is the void ratio;
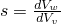
![]()
is the wetting fluid volume in the medium;
![]()
is the void volume in the medium;
![]()
is the volume of grains of solid material in the medium;
![]()
is the volume of trapped wetting liquid in the medium;
![]()
is the total volume of the medium;
![]()
is the fluid velocity;
![]()
is a “velocity coefficient,” which may be dependent on the void ratio of the material;
![]()
is the dependence of permeability on saturation of the wetting liquid such that
at
;
![]()
is the density of the fluid;
![]()
is the specific weight of the wetting liquid;
g
is the magnitude of the gravitational acceleration;
![]()
is the permeability of the fully saturated medium, which can be a function of void ratio (e, common in soil consolidation problems), temperature (
), and/or field variables (
);
![]()
is the wetting liquid pore pressure;
![]()
is position; and
![]()
is the gravitational acceleration.
Permeability can be defined in different ways by different authors; caution should, therefore, be used to ensure that the specified input data are consistent with the definitions used in Abaqus/Standard.
Permeability in Abaqus/Standard is defined as
![]()
![]()
Some authors refer to the definition of permeability used in Abaqus/Standard,
(units of
), as the “hydraulic conductivity” of the porous medium and define the permeability as
![]()
Permeability in Abaqus/Standard can be isotropic, orthotropic, or fully anisotropic. For non-isotropic permeability a local orientation (see “Orientations,” Section 2.2.5) must be used to specify the material directions.
For isotropic permeability in Abaqus/Standard define one value of the fully saturated permeability at each value of the void ratio.
| Input File Usage: | *PERMEABILITY, TYPE=ISOTROPIC |
| Abaqus/CAE Usage: | Property module: material editor: Other |
For orthotropic permeability in Abaqus/Standard define three values of the fully saturated permeability (
,
, and
) at each value of the void ratio.
| Input File Usage: | *PERMEABILITY, TYPE=ORTHOTROPIC |
| Abaqus/CAE Usage: | Property module: material editor: Other |
For fully anisotropic permeability in Abaqus/Standard define six values of the fully saturated permeability (
,
,
,
,
, and
) at each value of the void ratio.
| Input File Usage: | *PERMEABILITY, TYPE=ANISOTROPIC |
| Abaqus/CAE Usage: | Property module: material editor: Other |
Abaqus/Standard assumes that
by default, meaning that Darcy's law is used. If Forchheimer's law is required (
),
must be defined in tabular form.
| Input File Usage: | *PERMEABILITY, TYPE=VELOCITY |
This must be a repeated use of the *PERMEABILITY option for the same material, since |
| Abaqus/CAE Usage: | Property module: material editor: Other |
In Abaqus/Standard you can define the dependence of permeability,
, on saturation, s, by specifying
. Abaqus/Standard assumes by default that
for
;
for
. The tabular definition of
must specify
for
.
| Input File Usage: | *PERMEABILITY, TYPE=SATURATION |
This must be a repeated use of the *PERMEABILITY option for the same material, since |
| Abaqus/CAE Usage: | Property module: material editor: Other |
In Abaqus/Standard the specific weight of the fluid,
, must be specified correctly even if the analysis does not consider the weight of the wetting liquid (i.e., if excess pore fluid pressure is calculated).
| Input File Usage: | *PERMEABILITY, TYPE=type, SPECIFIC= |
The SPECIFIC parameter must be defined in conjunction with the fully saturated *PERMEABILITY option for a given medium. |
| Abaqus/CAE Usage: | Property module: material editor: Other |

For flows in fluid-saturated porous medium, the momentum equation in its simplest form can be written as
![]()
![]()
is the intrinsic average of the pressure (average taken over the fluid-phase only);
![]()
is the extrinsic or superficial velocity vector, where the average is taken over a representative volume incorporating both the solid (matrix) and the fluid phases;
![]()
is the density of the fluid;
![]()
is the viscosity of the fluid;
![]()
is the permeability of the porous medium (units of L2); and
![]()
is the dimensionless inertial or form drag coefficient and, in general, is a function of the porosity
.
![]()
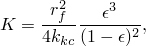
A widely used model to specify the permeability
as a function of porosity is the Carman-Kozeny relation, which is given by
![]()
Permeability in Abaqus/CFD can be isotropic (with dependence only on porosity) or specified using a Carman-Kozeny relation.
For isotropic permeability define one value of the fully saturated permeability at each value of the porosity.
| Input File Usage: | *PERMEABILITY, TYPE=ISOTROPIC |
| Abaqus/CAE Usage: | Property module: material editor: Other |
For the Carman-Kozeny relation, you can define the permeability
by specifying
, the Carman-Kozeny constant, and
, the average pore-particle/fiber radius.
| Input File Usage: | *PERMEABILITY, TYPE=CARMAN KOZENY |
| Abaqus/CAE Usage: | Property module: material editor: Other |
The value of the constant
in the expression for the inertial drag coefficient,
, can be set to any user-specified value. By default, the value of
is 0.142887.
| Input File Usage: | *PERMEABILITY, TYPE=type, INERTIAL DRAG COEFFICIENT= |
| Abaqus/CAE Usage: | Property module: material editor: Other |

In Abaqus/Standard permeability can be used only in elements that allow for pore pressure (see “Choosing the appropriate element for an analysis type,” Section 27.1.3). Permeability can be used with any fluid element in Abaqus/CFD.