
Products: Abaqus/Explicit Abaqus/CFD Abaqus/CAE

Material shear viscosity is an internal property of a fluid that offers resistance to flow. It can be specified in Abaqus/Explicit and Abaqus/CFD.
Material shear viscosity in Abaqus/Explicit:
can be a function of temperature and shear strain rate; and
must be used in combination with an equation of state (“Equation of state,” Section 25.2.1).
can be a function of temperature only for the Newtonian model;
can be a function of shear strain rate; and
is not supported for field-dependent variants.

The resistance to flow of a viscous fluid is described by the following relationship between deviatoric stress and strain rate
![]()
Newtonian fluids are characterized by a viscosity that only depends on temperature,
. In the more general case of non-Newtonian fluids the viscosity is a function of the temperature and shear strain rate:
![]()
![]()
In addition to the Newtonian viscous fluid model, Abaqus/CFD and Abaqus/Explicit support several models of nonlinear viscosity to describe non-Newtonian fluids: power law, Carreau-Yasuda, Cross, Herschel-Bulkley, Powell-Eyring, and Ellis-Meter. Other functional forms of the viscosity can also be specified in tabular format. In addition, in Abaqus/Explicit user subroutine VUVISCOSITY can be used.
The Newtonian model is useful to model viscous laminar flow governed by the Navier-Poisson law of a Newtonian fluid,
. Newtonian fluids are characterized by a viscosity that depends only on temperature,
. You need to specify the viscosity as a tabular function of temperature when you define the Newtonian viscous deviatoric behavior.
| Input File Usage: | *VISCOSITY, DEFINITION=NEWTONIAN (default) |
| Abaqus/CAE Usage: | Property module: material editor: Mechanical Viscosity |
The power law model is commonly used to describe the viscosity of non-Newtonian fluids. The viscosity is expressed as
![]()
| Input File Usage: | *VISCOSITY, DEFINITION=POWER LAW |
| Abaqus/CAE Usage: | The power law model is not supported in Abaqus/CAE. |
The Carreau-Yasuda model describes the shear thinning behavior of polymers. This model often provides a better fit than the power law model for both high and low shear strain rates. The viscosity is expressed as
![]()
| Input File Usage: | *VISCOSITY, DEFINITION=CARREAU-YASUDA |
| Abaqus/CAE Usage: | The Carreau-Yasuda model is not supported in Abaqus/CAE. |
The Cross model is commonly used when it is necessary to describe the low-shear-rate behavior of the viscosity. The viscosity is expressed as
![]()
| Input File Usage: | *VISCOSITY, DEFINITION=CROSS |
| Abaqus/CAE Usage: | The Cross model is not supported in Abaqus/CAE. |
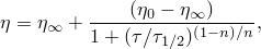
The Herschel-Bulkley model can be used to describe the behavior of viscoplastic fluids, such as Bingham plastics, that exhibit a yield response. The viscosity is expressed as
![]()
| Input File Usage: | *VISCOSITY, DEFINITION=HERSCHEL-BULKLEY |
| Abaqus/CAE Usage: | The Herschel-Bulkley model is not supported in Abaqus/CAE. |
This model, which is derived from the theory of rate processes, is relevant primarily to molecular fluids but can be used in some cases to describe the viscous behavior of polymer solutions and viscoelastic suspensions over a wide range of shear rates. The viscosity is expressed as
![]()
| Input File Usage: | *VISCOSITY, DEFINITION=POWELL-EYRING |
| Abaqus/CAE Usage: | The Powell-Eyring model is not supported in Abaqus/CAE. |
The Ellis-Meter model expresses the viscosity in terms of the effective shear stress,
, as:
![]()
| Input File Usage: | *VISCOSITY, DEFINITION=ELLIS-METER |
| Abaqus/CAE Usage: | The Ellis-Meter model is not supported in Abaqus/CAE. |
In Abaqus/Explicit the viscosity can be specified directly as a tabular function of shear strain rate and temperature. In Abaqus/CFD only shear strain rate dependence is supported.
| Input File Usage: | *VISCOSITY, DEFINITION=TABULAR |
| Abaqus/CAE Usage: | Specifying the viscosity directly as a tabular function is not supported in Abaqus/CAE. |
In Abaqus/Explicit you can specify a user-defined viscosity in user subroutine VUVISCOSITY (see “VUVISCOSITY,” Section 1.2.26 of the Abaqus User Subroutines Reference Guide).
| Input File Usage: | *VISCOSITY, DEFINITION=USER |
| Abaqus/CAE Usage: | User-defined viscosity is not supported in Abaqus/CAE. |

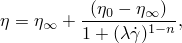
The temperature-dependence of the viscosity of many polymer materials of industrial interest obeys a time-temperature shift relationship in the form:
![]()
![]()
See “Thermo-rheologically simple temperature effects” in “Time domain viscoelasticity,” Section 22.7.1, for a description of the different forms of the shift function available in Abaqus.
| Input File Usage: | Use the following options to define a thermo-rheologically simple (TRS) temperature-dependent viscosity: |
*VISCOSITY *TRS |
| Abaqus/CAE Usage: | Defining a thermo-rheologically simple temperature-dependent viscosity is not supported in Abaqus/CAE. |

Material shear viscosity in Abaqus/Explicit must be used in combination with an equation of state to define the material's volumetric mechanical behavior (see “Equation of state,” Section 25.2.1).