
Products: Abaqus/Standard Abaqus/Explicit Abaqus/CFD Abaqus/CAE

Thermal expansion effects:
can be defined by specifying thermal expansion coefficients so that Abaqus can compute thermal strains and, in Abaqus/CFD, buoyancy forces;
can be isotropic, orthotropic, or fully anisotropic;
are defined as total expansion from a reference temperature;
can be specified as a function of temperature and/or field variables;
can be defined with a distribution for solid continuum elements in Abaqus/Standard; and
in Abaqus/Standard can be specified directly in user subroutine UEXPAN (if the thermal strains are complicated functions of field variables and state variables).

Thermal expansion is a material property included in a material definition (see “Material data definition,” Section 21.1.2) except when it refers to the expansion of a gasket whose material properties are not defined as part of a material definition. In that case expansion must be used in conjunction with the gasket behavior definition (see “Defining the gasket behavior directly using a gasket behavior model,” Section 32.6.6).
In an Abaqus/Standard analysis a spatially varying thermal expansion can be defined for homogeneous solid continuum elements by using a distribution (“Distribution definition,” Section 2.8.1). The distribution must include default values for the thermal expansion. If a distribution is used, no dependencies on temperature and/or field variables for the thermal expansion can be defined.
In an Abaqus/CFD analysis the thermal expansion coefficient,
, can be defined for computation of thermal strains in solid materials and the volumetric thermal expansion coefficient,
, can be defined for computation of buoyancy forces in fluid materials. See “Computation of thermal strains,” and “Computation of buoyancy forces in Abaqus/CFD” below, for a detailed description of each of these coefficients.
| Input File Usage: | Use the following options to define thermal expansion for most materials: |
*MATERIAL *EXPANSION Use the following options to define thermal expansion for gaskets whose constitutive response is defined directly as gasket behavior: *GASKET BEHAVIOR *EXPANSION |
| Abaqus/CAE Usage: | Use the following option in conjunction with other material behaviors, including gasket behavior, to include thermal expansion effects: |
Property module: material editor: Mechanical |
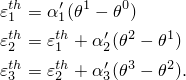
Abaqus requires thermal expansion coefficients,
, that define the total thermal expansion from a reference temperature,
, as shown in Figure 26.1.2–1.
![]()
![]()
is the thermal expansion coefficient;
![]()
is the current temperature;
![]()
is the initial temperature;
![]()
are the current values of the predefined field variables;
![]()
are the initial values of the field variables; and
![]()
is the reference temperature for the thermal expansion coefficient.
The second term in the above equation represents the strain due to the difference between the initial temperature,
, and the reference temperature,
. This term is necessary to enforce the assumption that there is no initial thermal strain for cases in which the reference temperature does not equal the initial temperature.
If the coefficient of thermal expansion,
, is not a function of temperature or field variables, the value of the reference temperature,
, is not needed. If
is a function of temperature or field variables, you can define
.
| Input File Usage: | *EXPANSION, ZERO= |
| Abaqus/CAE Usage: | Property module: material editor: Mechanical |
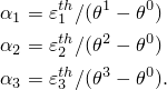
Buoyancy forces driving natural convection in Abaqus/CFD fluids are computed using the Boussinesq approximation
![]()
![]()
is the density;
![]()
is the initial density;
![]()
is the acceleration due to gravity;
![]()
is the temperature;
![]()
is the reference temperature, and;
![]()
is the volumetric thermal expansion coefficient.
![]()
![]()
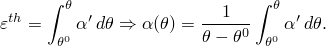
Total thermal expansion coefficients are commonly available in tables of material properties. However, sometimes you are given thermal expansion data in differential form:
![]()
![]()


Increments of thermal strain can be specified in Abaqus/Standard user subroutine UEXPAN as functions of temperature and/or predefined field variables. User subroutine UEXPAN must be used if the thermal strain increments depend on state variables.
| Input File Usage: | *EXPANSION, USER |
| Abaqus/CAE Usage: | Property module: material editor: Mechanical |

If the coefficient of thermal expansion,
, is a function of temperature or field variables, the initial temperature and initial field variable values,
and
, are given as described in “Initial conditions in Abaqus/Standard and Abaqus/Explicit,” Section 34.2.1.
If an element has been removed and subsequently reactivated in Abaqus/Standard (“Element and contact pair removal and reactivation,” Section 11.2.1),
and
in the equation for the thermal strains represent temperature and field variable values as they were at the moment of reactivation.

Isotropic or orthotropic thermal expansion can be defined in Abaqus. In addition, fully anisotropic thermal expansion can be defined in Abaqus/Standard.
Orthotropic and anisotropic thermal expansion can be used only with materials where the material directions are defined with local orientations (see “Orientations,” Section 2.2.5).
Orthotropic thermal expansion in Abaqus/Explicit is allowed only with anisotropic elasticity (including orthotropic elasticity) and anisotropic yield (see “Anisotropic yield/creep,” Section 23.2.6).
Only isotropic thermal expansion is allowed in Abaqus/CFD, for adiabatic stress analysis, and with the hyperelastic and hyperfoam material models.
If the thermal expansion coefficient is defined directly, only one value of
is needed at each temperature. If user subroutine UEXPAN is used, only one isotropic thermal strain increment (
) must be defined.
| Input File Usage: | Use the following option to define the thermal expansion coefficient directly: |
*EXPANSION, TYPE=ISO Use the following option to define the thermal expansion with user subroutine UEXPAN: *EXPANSION, TYPE=ISO, USER |
| Abaqus/CAE Usage: | Use the following input to define the thermal expansion coefficient directly: |
Property module: material editor: Mechanical Use the following input to define the thermal expansion with user subroutine UEXPAN: Property module: material editor: Mechanical |
If the thermal expansion coefficients are defined directly, the three expansion coefficients in the principal material directions (
,
, and
) should be given as functions of temperature. If user subroutine UEXPAN is used, the three components of thermal strain increment in the principal material directions (
,
, and
) must be defined.
| Input File Usage: | Use the following option to define the thermal expansion coefficient directly: |
*EXPANSION, TYPE=ORTHO Use the following option to define the thermal expansion with user subroutine UEXPAN: *EXPANSION, TYPE=ORTHO, USER |
| Abaqus/CAE Usage: | Use the following input to define the thermal expansion coefficient directly: |
Property module: material editor: Mechanical Use the following input to define the thermal expansion with user subroutine UEXPAN: Property module: material editor: Mechanical |
If the thermal expansion coefficients are defined directly, all six components of
(
,
,
,
,
,
) must be given as functions of temperature. If user subroutine UEXPAN is used, all six components of the thermal strain increment (
,
,
,
,
,
) must be defined.
In an Abaqus/Standard analysis if a distribution is used to define the thermal expansion, the number of expansion coefficients given for each element in the distribution, which is determined by the associated distribution table (“Distribution definition,” Section 2.8.1), must be consistent with the level of anisotropy specified for the expansion behavior. For example, if orthotropic behavior is specified, three expansion coefficients must be defined for each element in the distribution.
| Input File Usage: | Use the following option to define the thermal expansion coefficient directly: |
*EXPANSION, TYPE=ANISO Use the following option to define the thermal expansion with user subroutine UEXPAN: *EXPANSION, TYPE=ANISO, USER |
| Abaqus/CAE Usage: | Use the following input to define the thermal expansion coefficient directly: |
Property module: material editor: Mechanical Use the following input to define the thermal expansion with user subroutine UEXPAN: Property module: material editor: Mechanical |

When a structure is not free to expand, a change in temperature will cause stress. For example, consider a single two-node truss of length L that is completely restrained at both ends. The cross-sectional area; the Young's modulus, E; and the thermal expansion coefficient,
, are all constant. The stress in this one-dimensional problem can then be calculated from Hooke's Law as
, where
is the total strain and
is the thermal strain, where
is the temperature change. Since the element is fully restrained,
. If the temperature at both nodes is the same, we obtain the stress
.
Constrained thermal expansion can cause significant stress. For typical structural metals, temperature changes of about 150°C (300°F) can cause yield. Therefore, it is often important to define boundary conditions with particular care for problems involving thermal loading to avoid overconstraining the thermal expansion.
Abaqus does not account for thermal expansion effects in the total energy balance equation, which can lead to an apparent imbalance of the total energy of the model. For example, in the example above of a two-node truss restrained at both ends, constrained thermal expansion introduces strain energy that will result in an equivalent increase in the total energy of the model.

Thermal expansion can be combined with any other (mechanical) material (see “Combining material behaviors,” Section 21.1.3) behavior in Abaqus.
For most materials thermal expansion is defined by a single coefficient or set of orthotropic or anisotropic coefficients or, in Abaqus/Standard, by defining the incremental thermal strains in user subroutine UEXPAN. For porous media in Abaqus/Standard, such as soils or rock, thermal expansion can be defined for the solid grains and for the permeating fluid (when using the coupled pore fluid diffusion/stress procedure—see “Coupled pore fluid diffusion and stress analysis,” Section 6.8.1). In such a case the thermal expansion definition should be repeated to define the different thermal expansion effects.