
Products: Abaqus/Standard Abaqus/CAE

The deformation theory Ramberg-Osgood plasticity model:
is primarily intended for use in developing fully plastic solutions for fracture mechanics applications in ductile metals; and
cannot appear with any other mechanical response material models since it completely describes the mechanical response of the material.

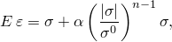
In one dimension the model is
![]()
![]()
is the stress;
![]()
is the strain;
E
is Young's modulus (defined as the slope of the stress-strain curve at zero stress);
![]()
is the “yield” offset;
![]()
is the yield stress, in the sense that, when
,
; and
n
is the hardening exponent for the “plastic” (nonlinear) term:
.
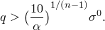
The material behavior described by this model is nonlinear at all stress levels, but for commonly used values of the hardening exponent (
or more) the nonlinearity becomes significant only at stress magnitudes approaching or exceeding
.

The one-dimensional model is generalized to multiaxial stress states using Hooke's law for the linear term and the Mises stress potential and associated flow law for the nonlinear term:
![]()
![]()
is the strain tensor,
![]()
is the stress tensor,
![]()
is the equivalent hydrostatic stress,
![]()
is the Mises equivalent stress,
![]()
is the stress deviator, and
![]()
is the Poisson's ratio.
You specify the parameters E,
,
, n, and
directly. They can be defined as a tabular function of temperature.
| Input File Usage: | *DEFORMATION PLASTICITY |
| Abaqus/CAE Usage: | Property module: material editor: Mechanical |

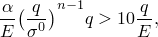
The deformation plasticity model is most commonly applied in static loading with small-displacement analysis, where the fully plastic solution must be developed in a part of the model. Generally, the load is ramped on until all points in the region being monitored satisfy the condition that the “plastic strain” dominates and, hence, exhibit fully plastic behavior, which is defined as
![]()
![]()
| Input File Usage: | *STATIC, FULLY PLASTIC=ElsetName |
| Abaqus/CAE Usage: | Step module: Create Step: General: Static, General: Other: Stop when region region is fully plastic. |

Deformation plasticity can be used with any stress/displacement element in Abaqus/Standard. Since it will generally be used for cases when the deformation is dominated by plastic flow, the use of “hybrid” (mixed formulation) or reduced-integration elements is recommended with this material model.