
Products: Abaqus/Standard Abaqus/CAE

A porous elastic material model:
is valid for small elastic strains (normally less than 5%);
is a nonlinear, isotropic elasticity model in which the pressure stress varies as an exponential function of volumetric strain;
allows a zero or nonzero elastic tensile stress limit; and
can have properties that depend on temperature and other field variables.

Often, the elastic part of the volumetric behavior of porous materials is modeled accurately by assuming that the elastic part of the change in volume of the material is proportional to the logarithm of the pressure stress (Figure 22.3.1–1):
![]()
![]()
| Input File Usage: | Use all three of the following options to define a porous elastic material: |
*POROUS ELASTIC, SHEAR=G or POISSON to define |
| Abaqus/CAE Usage: | Use all three of the following options to define a porous elastic material: |
Property module: material editor: Mechanical Load module: Create Predefined Field: Step: Initial: choose Mechanical for the Category and Stress for the Types for Selected Step Load module: Create Predefined Field: Step: Initial: choose Other for the Category and Void ratio for the Types for Selected Step |

The deviatoric elastic behavior of a porous material can be defined in either of two ways.
Give the shear modulus, G. The deviatoric stress,
, is then related to the deviatoric part of the total elastic strain,
, by
![]()
| Input File Usage: | *POROUS ELASTIC, SHEAR=G |
| Abaqus/CAE Usage: | Property module: material editor: Mechanical |
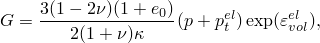
Define Poisson's ratio,
. The instantaneous shear modulus is then defined from the instantaneous bulk modulus and Poisson's ratio as
![]()
![]()
| Input File Usage: | *POROUS ELASTIC, SHEAR=POISSON |
| Abaqus/CAE Usage: | Property module: material editor: Mechanical |

The porous elasticity model can be used by itself, or it can be combined with:
the “Critical state (clay) plasticity model,” Section 23.3.4; or
isotropic expansion to introduce thermal volume changes (“Thermal expansion,” Section 26.1.2).
Porous elasticity cannot be used with the porous metal plasticity model (“Porous metal plasticity,” Section 23.2.9).
See “Combining material behaviors,” Section 21.1.3, for more details.

Porous elasticity cannot be used with hybrid elements or plane stress elements (including shells and membranes), but it can be used with any other pure stress/displacement element in Abaqus/Standard.
If used with reduced-integration elements with total-stiffness hourglass control, Abaqus/Standard cannot calculate a default value for the hourglass stiffness of the element if the shear behavior is defined through Poisson's ratio. Hence, you must specify the hourglass stiffness. See “Section controls,” Section 27.1.4, for details.
If fluid pore pressure is important (such as in undrained soils), stress/displacement elements that include pore pressure can be used.