
Products: Abaqus/Standard Abaqus/CAE

A fully coupled thermal-electrical-structural analysis:
is performed when coupling between the displacement, temperature, and electrical potential fields makes it necessary to obtain solutions for all three fields simultaneously;
requires the existence of elements with displacement, temperature, and electrical potential degrees of freedom in the model;
allows for transient or steady-state thermal solutions, static displacement solutions, and steady-state electrical solutions;
can include thermal interactions such as gap radiation, gap conductance, and gap heat generation between surfaces (see “Thermal contact properties,” Section 37.2.1);
can include electrical interactions such as gap electrical conductance (see “Electrical contact properties,” Section 37.3.1);
cannot include cavity radiation effects but may include radiation boundary conditions (see “Thermal loads,” Section 34.4.4);
takes into account temperature dependence of material properties only for the properties that are assigned to elements with temperature degrees of freedom;
neglects inertia effects; and
can be transient or steady state.

A fully coupled thermal-electrical-structural analysis is the union of a coupled thermal-displacement analysis (see “Fully coupled thermal-stress analysis,” Section 6.5.3) and a coupled thermal-electrical analysis (see “Coupled thermal-electrical analysis,” Section 6.7.3).
Coupling between the temperature and electrical degrees of freedom arises from temperature-dependent electrical conductivity and internal heat generation (Joule heating), which is a function of the electrical current density. The thermal part of the problem can include heat conduction and heat storage (“Thermal properties: overview,” Section 26.2.1). Forced convection caused by fluid flowing through the mesh is not considered.
Coupling between the temperature and displacement degrees of freedom arises from temperature-dependent material properties, thermal expansion, and internal heat generation, which is a function of inelastic deformation of the material. In addition, contact conditions exist in some problems where the heat conducted between surfaces may depend strongly on the separation of the surfaces and/or the pressure transmitted across the surfaces as well as friction (see “Mechanical contact properties: overview,” Section 37.1.1, and “Thermal contact properties,” Section 37.2.1).
Coupling between the electrical and displacement degrees of freedom arises in problems where electricity flows between contact surfaces. The electrical conduction may depend strongly on the separation of the surfaces and/or the pressure transmitted across the surfaces (see “Electrical contact properties,” Section 37.3.1).
An example of a simulation that requires a fully coupled thermal-electrical-structural analysis is resistance spot welding. In a typical spot welding process two or more thin metal sheets are pinched between two electrodes. A large current is passed between the electrodes, which melts the metal between the electrodes and forms a weld. The integrity of the weld depends on many parameters including the electrical conductance between the sheets (which can be a function of contact pressure and temperature).
Steady-state analysis provides the steady-state solution directly. Steady-state thermal analysis means that the internal energy term (the specific heat term) in the governing heat transfer equation is omitted. A static displacement solution is assumed. Only direct current is considered in the electrical problem, and it is assumed that the system has negligible capacitance. Electrical transient effects are so rapid that they can be neglected.
| Input File Usage: | *COUPLED TEMPERATURE-DISPLACEMENT, ELECTRICAL, STEADY STATE |
| Abaqus/CAE Usage: | Step module: Create Step: General: Coupled thermal-electrical-structural: Basic: Response: Steady state |
In steady-state cases you should assign an arbitrary “time” scale to the step: you specify a “time” period and “time” incrementation parameters. This time scale is convenient for changing loads and boundary conditions through the step and for obtaining solutions to highly nonlinear (but steady-state) cases; however, for the latter purpose, transient analysis often provides a natural way of coping with the nonlinearity.
Frictional slip heat generation is normally neglected in the steady-state case. However, it can still be accounted for if motions are used to specify translational or rotational nodal velocities in disk brake-type problems or if user subroutine FRIC provides the incremental frictional dissipation through the variable SFD. If frictional heat generation is present, the heat flux into the two contact surfaces depends on the slip rate of the surfaces. The “time” scale in this case cannot be described as arbitrary, and a transient analysis should be performed.
Alternatively, you can perform a transient coupled thermal-electrical-structural analysis. As in steady-state analysis, electrical transient effects are neglected and a static displacement solution is assumed. You can control the time incrementation in a transient analysis directly, or Abaqus/Standard can control it automatically. Automatic time incrementation is generally preferred.
The time increments can be selected automatically based on a user-prescribed maximum allowable nodal temperature change in an increment,
. Abaqus/Standard will restrict the time increments to ensure that this value is not exceeded at any node (except nodes with boundary conditions) during any increment of the analysis (see “Time integration accuracy in transient problems,” Section 7.2.4).
| Input File Usage: | *COUPLED TEMPERATURE-DISPLACEMENT, ELECTRICAL, DELTMX= |
| Abaqus/CAE Usage: | Step module: Create Step: General: Coupled thermal-electrical-structural: Basic: Response: Transient; Incrementation: Type: Automatic: Max. allowable temperature change per increment: |
If you do not specify
, fixed time increments equal to the user-specified initial time increment,
, will be used throughout the analysis.
| Input File Usage: | *COUPLED TEMPERATURE-DISPLACEMENT, ELECTRICAL |
| Abaqus/CAE Usage: | Step module: Create Step: General: Coupled thermal-electrical-structural: Basic: Response: Transient; Incrementation: Type: Fixed: Increment size: |
In transient analysis with second-order elements there is a relationship between the minimum usable time increment and the element size. A simple guideline is
![]()
There is no upper limit on the time increment size (the integration procedure is unconditionally stable) unless nonlinearities cause convergence problems.
The accuracy of the integration of time-dependent (creep) material behavior is governed by the user-specified accuracy tolerance parameter,
. This parameter is used to prescribe the maximum strain rate change allowed at any point during an increment, as described in “Rate-dependent plasticity: creep and swelling,” Section 23.2.4. The accuracy tolerance parameter can be specified together with the maximum allowable nodal temperature change in an increment,
(described above); however, specifying the accuracy tolerance parameter activates automatic incrementation even if
is not specified.
| Input File Usage: | *COUPLED TEMPERATURE-DISPLACEMENT, ELECTRICAL, DELTMX= |
| Abaqus/CAE Usage: | Step module: Create Step: General: Coupled thermal-electrical-structural: Basic: Response: Transient, toggle on Include creep/swelling/viscoelastic behavior; Incrementation: Type: Automatic: Max. allowable temperature change per increment: |
Nonlinear creep problems (“Rate-dependent plasticity: creep and swelling,” Section 23.2.4) that exhibit no other nonlinearities can be solved efficiently by forward-difference integration of the inelastic strains if the inelastic strain increments are smaller than the elastic strains. This explicit method is efficient computationally because, unlike implicit methods, iteration is not required as long as no other nonlinearities are present. Although this method is only conditionally stable, the numerical stability limit of the explicit operator is in many cases sufficiently large to allow the solution to be developed in a reasonable number of time increments.
For most coupled thermal-electrical-structural analyses, however, the unconditional stability of the backward difference operator (implicit method) is desirable. In such cases the implicit integration scheme may be invoked automatically by Abaqus/Standard.
Explicit integration can be less expensive computationally and simplifies implementation of user-defined creep laws in user subroutine CREEP; you can restrict Abaqus/Standard to using this method for creep problems (with or without geometric nonlinearity included). See “Rate-dependent plasticity: creep and swelling,” Section 23.2.4, for further details.
| Input File Usage: | *COUPLED TEMPERATURE-DISPLACEMENT, ELECTRICAL, CETOL=tolerance, CREEP=EXPLICIT |
| Abaqus/CAE Usage: | Step module: Create Step: General: Coupled thermal-electrical-structural: Basic: Response: Transient, toggle on Include creep/swelling/viscoelastic behavior; Incrementation: Creep/swelling/viscoelastic strain error tolerance: tolerance, Creep/swelling/viscoelastic integration: Explicit |
You can specify that no creep or viscoelastic response will occur during a step even if creep or viscoelastic material properties have been defined.
| Input File Usage: | *COUPLED TEMPERATURE-DISPLACEMENT, ELECTRICAL, DELTMX= |
| Abaqus/CAE Usage: | Step module: Create Step: General: Coupled thermal-electrical-structural: Basic: Response: Transient, toggle off Include creep/swelling/viscoelastic behavior |
Some types of analyses may develop local instabilities, such as surface wrinkling, material instability, or local buckling. In such cases it may not be possible to obtain a quasi-static solution, even with the aid of automatic incrementation. Abaqus/Standard offers a method of stabilizing this class of problems by applying damping throughout the model in such a way that the viscous forces introduced are sufficiently large to prevent instantaneous buckling or collapse but small enough not to affect the behavior significantly while the problem is stable. The available automatic stabilization schemes are described in detail in “Automatic stabilization of unstable problems” in “Solving nonlinear problems,” Section 7.1.1.
In coupled problems where two or three different fields are active, take care when choosing the units of the problem. If the choice of units is such that the terms generated by the equations for each field are different by many orders of magnitude, the precision on some computers may be insufficient to resolve the numerical ill-conditioning of the coupled equations. Therefore, choose units that avoid ill-conditioned matrices. For example, consider using units of Mpascal instead of pascal for the stress equilibrium equations to reduce the disparity between the magnitudes of the stress equilibrium equations, the heat flux continuity equations, and the conservation of charge equations.

By default, the initial temperature of all nodes is zero. You can specify nonzero initial temperatures. Initial stresses, field variables, etc. can also be defined; “Initial conditions in Abaqus/Standard and Abaqus/Explicit,” Section 34.2.1, describes all of the initial conditions that are available for a fully coupled thermal-electrical-structural analysis.

Boundary conditions can be used to prescribe temperatures (degree of freedom 11), displacements/rotations (degrees of freedom 1–6), or electrical potentials (degree of freedom 9) at nodes in a fully coupled thermal-electrical-structural analysis (see “Boundary conditions in Abaqus/Standard and Abaqus/Explicit,” Section 34.3.1).
Boundary conditions can be specified as functions of time by referring to amplitude curves (“Amplitude curves,” Section 34.1.2).

The following types of thermal loads can be prescribed in a fully coupled thermal-electrical-structural analysis, as described in “Thermal loads,” Section 34.4.4:
Concentrated heat fluxes.
Body fluxes and distributed surface fluxes.
Node-based film and radiation conditions.
Average-temperature radiation conditions.
Element and surface-based film and radiation conditions.
Concentrated nodal forces can be applied to the displacement degrees of freedom (1–6); see “Concentrated loads,” Section 34.4.2.
Distributed pressure forces or body forces can be applied; see “Distributed loads,” Section 34.4.3.
Concentrated current.
Distributed surface current densities and body current densities.

Predefined temperature fields are not allowed in a fully coupled thermal-electrical-structural analysis. Boundary conditions should be used instead to prescribe temperature degree of freedom 11, as described earlier.
Other predefined field variables can be specified in a fully coupled thermal-electrical-structural analysis. These values will affect only field-variable-dependent material properties, if any. See “Predefined fields,” Section 34.6.1.

The materials in a fully coupled thermal-electrical-structural analysis must have thermal properties (such as conductivity), mechanical properties (such as elasticity), and electrical properties (such as electrical conductivity) defined. See Part V, “Materials,” for details on the material models available in Abaqus.
Internal heat generation can be specified; see “Uncoupled heat transfer analysis,” Section 6.5.2.
Thermal strain will arise if thermal expansion (“Thermal expansion,” Section 26.1.2) is included in the material property definition.
A fully coupled thermal-electrical-structural analysis can be used to analyze static creep and swelling problems, which generally occur over fairly long time periods (“Rate-dependent plasticity: creep and swelling,” Section 23.2.4); viscoelastic materials (“Time domain viscoelasticity,” Section 22.7.1); or viscoplastic materials (“Rate-dependent yield,” Section 23.2.3).
You can specify an inelastic heat fraction in a fully coupled thermal-electrical-structural analysis to provide for inelastic energy dissipation as a heat source. The heat flux per unit volume,
, that is added into the thermal energy balance is computed using the equation
![]()
![]()
Inelastic heat fractions are typically used in the simulation of high-speed manufacturing processes involving large amounts of inelastic strain, where the heating of the material caused by its deformation significantly influences temperature-dependent material properties. The generated heat is treated as a volumetric heat flux source term in the heat balance equation.
An inelastic heat fraction can be specified for materials with plastic behavior that use the Mises or Hill yield surface (“Inelastic behavior,” Section 23.1.1). It cannot be used with the combined isotropic/kinematic hardening model. The inelastic heat fraction can be specified for user-defined material behavior in Abaqus/Explicit and will be multiplied by the inelastic energy dissipation coded in the user subroutine to obtain the heat flux. In Abaqus/Standard the inelastic heat fraction cannot be used with user-defined material behavior; in this case the heat flux that must be added to the thermal energy balance is computed directly in the user subroutine.
In Abaqus/Standard an inelastic heat fraction can also be specified for hyperelastic material definitions that include time-domain viscoelasticity (“Time domain viscoelasticity,” Section 22.7.1).
The default value of the inelastic heat fraction is 0.9. If you do not include the inelastic heat fraction behavior in the material definition, the heat generated by inelastic deformation is not included in the analysis.
| Input File Usage: | *INELASTIC HEAT FRACTION |
| Abaqus/CAE Usage: | Property module: material editor: Thermal: Inelastic Heat Fraction:
Fraction: |
Joule's law describes the rate of electrical energy,
, dissipated by current flowing through a conductor as
![]()
| Input File Usage: | *JOULE HEAT FRACTION |
| Abaqus/CAE Usage: | Property module: material editor: Thermal |

Coupled thermal-electrical-structural elements that have displacements, temperatures, and electrical potentials as nodal variables are available. Simultaneous temperature/electrical potential/displacement solution requires the use of such elements; pure displacement and temperature-displacement elements can be used in part of the model in a fully coupled thermal-electrical-structural analysis, but pure heat transfer elements cannot be used.
The first-order coupled thermal-electrical-structural elements in Abaqus use a constant temperature over the element to calculate thermal expansion. The second-order coupled thermal-electrical-structural elements in Abaqus use a lower-order interpolation for temperature than for displacement (parabolic variation of displacements and linear variation of temperature) to obtain a compatible variation of thermal and mechanical strain.

See “Abaqus/Standard output variable identifiers,” Section 4.2.1, for a complete list of output variables. The types of output available are described in “Output,” Section 4.1.1.
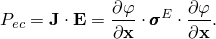
In a steady-state coupled thermal-electrical-structural analysis the electrical energy dissipated due to flow of electrical current at an integration point (output variable JENER) is computed using the following relationship:
![]()
The output variable JENER and the derived output variables ELJD and ALLJD contain the values of electrical energies dissipated in the current step only. Similarly, the contribution from the electrical current flow to the output variable ALLWK includes only the external work performed in the current step.

*HEADING … ** Specify the coupled thermal-electrical-structural element type *ELEMENT, TYPE=Q3D8 … ** *STEP *COUPLED TEMPERATURE-DISPLACEMENT, ELECTRICAL Data line to define incrementation *BOUNDARY Data lines to define nonzero boundary conditions on displacement, temperature or electrical potential degrees of freedom *CFLUX and/or *CFILM and/or *CRADIATE and/or *DFLUX and/or *DSFLUX and/or *FILM and/or *SFILM and/or *RADIATE and/or *SRADIATE Data lines to define thermal loads *CLOAD and/or *DLOAD and/or *DSLOAD Data lines to define mechanical loads *CECURRENT Data lines to define concentrated currents *DECURRENT and/or *DSECURRENT Data lines to define distributed current densities *FIELD Data lines to define field variable values *END STEP